-
清北EMBA| 数学常考的应用题,您能驾驭吗?
-
在清北EMBA考试中,数学部分共设五道题目,每题3分,总计15分。EMBA考试中一分之差都可能需要再考一年,因此每一分都至关重要,数学部分得分尤其需要重视。据统计,数学题目中应用题的占比通常高达60%,在五道数学题中,应用题可能占据三道。能否熟练掌握应用题,将直接影响数学成绩的优劣,进而决定清北EMBA笔试的成败。小编给大家整理了近几年应用题考察重点和真题希望对大家备考有所帮助!
01
比例问题
1.比的基本性质:
(1)a:b=k推出a=kb;
(2)a:b=ma:mb(m≠0)
2.比例的基本性质:
(1)比列的外项之积等于比列的内项之积,即ad=bc。
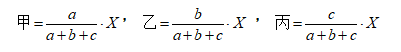
(2)若甲:乙=a:b,乙:丙=b:c,则甲:乙:丙=a:b:c;
(3)若甲:乙:丙=a:b:c,总量为x,则
3.比率:
(1)原数为a,增长率p%,若增长n次,则现数为a(1+p%)”。
(2)原数为a ,下降率p%,若下降n次,则现数为a(1-p%)”。
(3)甲比乙大p%,(甲-乙)/乙=p%
(4)甲是乙的p%,甲=乙×p%。
4.正、反比例:
(1)若y=kx(k≠0.k为常数),则称y与x成正比,其中k为比例系数。
(2)若y=k/x(k≠0,k为常数),则称y与x成反比,其中k为比例系数,
EMBA真题
1.税前收入20000,要缴纳37%的税和社保,剩下的拿出30%储蓄,储蓄了多少钱?
解答:税前收入为20000,缴纳37%的税和社保后,剩余比例为1 - 37% = 63%,
剩余收入为20000×63% = 20000×0.63 = 12600(元)。
储蓄金额为12600×30% =3780(元)。
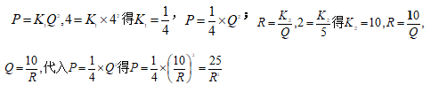
2. P和Q的平方成正比,当P=4时,Q=4,R和Q是反比关系,当R=2时,Q=5,
因此P如何用R表示?
解答:

02
利润问题
1. 总利润=总售价-总成本=单件利润×总销售量.
2. 利润率=总利润÷总成本(成本利率);毛利率=总利润÷总收入(销售利率)
EMBA真题
1.蛋糕店里瑞士卷的毛利率是30%,另-种蛋糕的毛利率20%,一个星期销售的两种蛋糕,综合毛利率是24%,销售额是35000元,问瑞士卷的利润是多少?
解答:设瑞士卷的销售额为x元,那么另一种蛋糕的销售额为(35000 - x)元。
毛利率 = 利润 ÷ 销售额,利润 = 销售额 × 毛利率。
综合毛利 = 瑞士卷的毛利 + 另一种蛋糕的毛利,
即:30%x + 20%(35000 - x) = 35000×24% 解得x =14000元
14000×30%= 4200元
03
行程问题
1.路程=速度×时间. 速度=路程/时间
2.相遇追及
(1)相遇问题:路程和=速度和×时间.
(2)追及问题:路程差=速度差×时间.
EMBA真题
1.全长400 米,去的时候速度80KM/H,回来时 100KM/H,平均速度是多少?
解答:平均速度= 总路程 ÷ 总时间
总路程去程和回程的路程都是400 米,即 0.4 千米,
总路程=0.4×2 = 0.8千米
去程时间= 路程 ÷ 速度 =0.4÷80 = 0.005小时
回程时间= 路程 ÷ 速度 =0.4÷100 = 0.004小时
总时间= 0.005 + 0.004 = 0.009小时
平均速度= 总路程 ÷ 总时间 =0.8÷0.009 ≈ 88.9KM/H
04
工程问题
1.工作总量=工作效率×工作时间.
2.基本题型及解题方法
(1)单独完成工程问题:工作效率=工作总量÷工作时间;工作时间=工作总量÷工作效率
(2)合作完成工程问题:合作的工作效率=各个效率之和.
EMBA真题
1.打印一份资料,若每分钟打30个字,需要若干小时打完。当打到此材料的2/5时,打字效率提高了40%,结果提前半小时打完。这份材料的字数是( )个。
解答:原打字效率:30字/分钟,提高40%后:30×(1+40%) = 30 ×1.4 = 42字/分钟
半小时= 30 分钟,设材料总字数为x个,时间 = 字数 ÷ 效率,
后3/5部分计划用时和实际用时相差半小时,

05
平均值问题
平均值= 总数量 ÷ 总份数
加权平均值= (第一组份数 × 该组平均值 + 第二组份数 × 该组平均值 + ...+第n组份数 × 该组平均值)÷(一组份数 + 二组份数 + ...+n组份数)
EMBA真题
1. 七个子公司,4个分别获得700万授信,3个分别获得1400万授信,7个子公司平均每家授信是多少?
解答:4个获得700万授信的子公司,总授信:4×700 = 2800(万)
3个获得1400万授信的子公司,总授信:3×1400 = 4200(万)
7个子公司总授信:2800 + 4200 = 7000(万)
平均每家授信= 总授信÷子公司数量,即7000÷7 = 1000(万)
2.三台机器每天生产零件产量从高到低排序为甲乙丙,三个的平均值为50个,甲是60个,丙最小值为多少个?
解答:由总量= 平均值×数量,可得:三台机器每天总产量 =50×3=150个
已知甲每天生产60 个,设乙每天生产y个,丙每天生产z个,
则有:60+y+z=150,化简得:y+z=90
要使丙的产量z最小,需让乙的产量y尽可能大,但根据 “甲>乙” 的约束,乙的产量不能超过甲,因此乙的最大可能值为60-1=59个;
丙的最小值=90-59=31个
希望上述整理的应用题考察重点与真题能让大家对清北EMBA应用题的考察难度和复习重点有个清晰的认知,为数学部分的得分筑牢根基。有需要全套清北EMBA数学真题、清北EMBA笔试辅导课程、数学公式的同学欢迎扫描二维码添加咨询老师微信获取。
-
推荐阅读

