- 
                MBA考生必背!这些公式中藏着联考数学的70分!
- 
                相信每一个联考人都听说过 “得数学者得联考”这句话 
 因为数学一科就75分 是管综分值最大的科目 学不好数学分分钟拖后腿 可你知道吗? 数学也是有捷径可走的 那就是:背公式 好用程度不亚于英语大作文模板 
 所以今天给大家总结了一波数学联考中常用的公式 希望对你有所帮助 
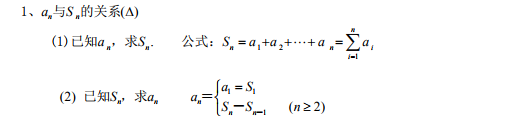
 绝对值      比和比例      平均值    方程      不等式     数列       
 俗话说的好:数学考题千千万,本质上都是对知识点中涉及到的各种公式的考查。公式玩儿的溜,相当数学考试持续有buff辅助! 当然, 如果现阶段你对数学或者其他科目没有把握的话,也欢迎联系翰章(华章)教育的老师,他们都会给予你最专业的建议和帮助。 
- 
                
                
                
                推荐阅读
 
					

 
                                         
                                         
                                         
                                         
                                         
                                         
                                         
                                         
                                         
                                         
                                         
                                         
                                         
                                         
                                         
                                         
                    
                     
					
					 
                