MBA申请

2020MBA想过国家线,这些数学题,你必须会!

8月末了,大家复习的怎么样啦?


那些现在还没完成基础知识框架搭建的考生


你们有点危险哦!





数学考试中,60%都是基础题,


剩下20%的中等难度综合题


还有20%的拉分题


那么复习到现在,这60%的基础题,是你绝对不能丢的分!


在基础考点中


实数、整式分式、绝对值与平均值


这三章的知识点,是必须掌握


只要出考题,是1分都不能丢的!






现在,是时候精做每一套数学真题了


今天,云学姐为大家总结了真题中必会的基础题


看看自己能否甄别考点,做对题吧!



(每个考点只展示其中几道,剩下的题将以题号形式标明)

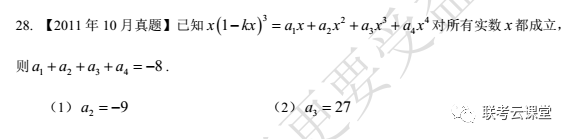
一、实数考点


还有2009年10月第7题,2007年10月第9题,2008年10月第15题


二、质数考点



三、质因数分解




四、非负性问题



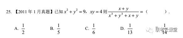
五、算数平均值与几何平均



还有2009年10月第5题,2009年10月真题第11题


六、绝对值




七、除法定理

八、特殊值代入法




其他年份考察题目:2008年10月第1题,2008年1月第13题


九、公式及运算


其他年份考察题目:2008年10月真题第21题,2008年1月真题第14题,2002年10月真题第18题


十、答案在哪里?


做完题目,总想知道自己做的效果怎么样?


那就快拿出你的小蓝本吧!


这本强化复习阶段的小蓝本,长这样!



在每道真题前,有标明题目的年份、月份及题号


各位同学查找答案时还可以顺便复习下类似的题目


强化知识点!


9月马上就要来到,这意味着


大家要开始对真题的准备了!


上至老师,下至考上的学姐学长都强调:


真题要精做!


真题一共就那么几套,怎么精做?


1、甄别知识点


题目很少会只考察某一个特定的知识点,而是综合题


那么,判断出题目都涉及什么知识点很重要


2、思考为什么这么考


换句话说,不是以考生的身份来做题,而是要试着带入出题人的视角,跳出考生身份,才能避开出卷人的套路陷阱,做题思路更清晰


3、总结


为什么有人的学习效果比你好?


听课后消化程度是一个影响因素


但是更重要的是

总结!


总结些什么?


做题时总见到的题型、错题、难点及套路陷阱......


多思考,多总结,将努力用对方向


还担心数学达不到60分吗?


更多的必会题型,【北京专硕联考】会在后期继续更新


当然,还有秒题小技巧送给你!


每天刷一刷,相信你一定会觉得收获满满!

——相关推荐——

(点击下方图片了解详情)

留言框:

北京翰章(华章)|MBA提前面试|翰章(华章)MBA|MBA辅导培训|MBA报考条件