如何备考MBA

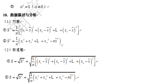
【快收藏!】MBA考生必背!最新精简版联考数学公式

在距离联考还有两个多月的时间里,除了刷真题,还有回归基础的复习任务。


联考考试中往往会设置60%左右的基础题,而这些基础题考查大家对基础知识的理解等。就数学科目来说,公式自然是考查的一个方面。翰章(华章)的各位老师们希望为各位学员提供更精简的备考资料,现在来跟小编一起看看精简版的联考数学中的必备公式吧



联考复习中期,可以通过大量练习来加深对知识的理解与记忆。


在做题过程中,也别忘记巩固基础与分析错题原因哦!


 


——相关推荐——

(点击下方图片了解详情)

留言框:

北京翰章(华章)|MBA提前面试|翰章(华章)MBA|MBA辅导培训|MBA报考条件